Special Relativity assumes time is a dimension, i.e. space-time is Minkowski space. There are thus four coordinates in this space, xi with the index i taking the values 0,1,2,3. Since time has different units than length, to be able to describe space and time as elements of one space-time we have to multiply time by a constant of dimension length/time, i.e. a velocity. This constant is usually denoted c. It is then x0 = c t. We will come back to the meaning of this constant later.
The other ingredient of Special Relativity is that the laws of physics are same for all observers with constant velocity. That means there are sensible and well-defined transformations between observers that preserve the form of the equations.
A Word or Two about Tensors
The way to achieve such sensible transformations is to make the equations "tensor equations", since a tensor does exactly what we want: it transforms in a well-defined way under a change from one to the other observer's coordinate system. The simplest sort of a tensor is a scalar φ, which doesn't transform at all - it's just the same in all coordinate systems. That doesn't mean it has the same value at each point though, so it is actually a scalar field.
The next simplest tensor is a vector Vi which has one index that runs from 0 to 3, corresponding to four entries - three for the spatial and one for the time-component. Again this can be a position dependent quantity, so it's actually a vector field. The next tensor has two indices Tij that run from 0 to 3, so 16 entries, and so on: Uijklmn.... The number of indices is also called the "rank" of a tensor. To transform a tensor from one coordinate system in the other, one acts on it with the transformation matrix, one for every index. We will come to this transformation later.
Note that it is meaningless to say an object defined in only one inertial frame is a tensor. If you have it in only one frame, you can always make it into a tensor by just defining it in every other frame to be the appropriately transformed version.
The Scalar Product
A specifically important scalar for Special Relativity is the scalar product between two vectors. The scalar product is a symmetric bilinear form, which basically means it's given by a rank two tensor gij that doesn't care in which order the indices come, and if you shovel in two vectors out comes a scalar. It goes like this:
gijViUj = scalar,
where sums are taken over indices that appear twice, once up and once down. This is also known as Einstein's summation convention.
I used to have a photo of Einstein with him standing in front of a blackboard cluttered with sum symbols. Unfortunately I can't find it online, a reference would be highly welcome. That photo made really clear why the convention was introduced. Today the sum convention is so common that it often isn't even mentioned. In fact, you will have to tell readers instead not to sum over equal indices if that's what you mean.
The scalar product is a property of the space one operates in. It tells you what the lengths of a vector is, and angles between different vectors. That means it describes how to do measurements in that space. The bilinear form you need for this is also called the "metric", you can use it to raise and lower indices on vectors in the following way: gijVj = Vi. Note how indices on both sides match: if you leave out the indices that appear both up and down, the remaining indices have to be equal on both sides.
Technically, the metric it is a map from the tangential to the co-tangential space, it thus transforms row-vectors V into column vectors VT and vice versa, where the T means taking the transverse. A lower index is also called "covariant", whereas upper indices are called "contravariant," just to give you some lingo. The index jiggling is also called "Ricci calculus" and one of the common ways to calculate in General Relativity. The other possibility is to go indexless via differential forms. If you use indices, here is a good advice: Make sure you don't accidentally use an index twice for different purposes in one equation. You can produce all kind of nonsense that way.
In Special Relativity, the metric is (in Euclidean coordinates) just a diagonal matrix with entries (1,-1,-1,-1), usually denoted with ηij. In the case of a curved space-time it is denoted with gij as I used above, but that General case is a different story and shall be told another time. So for now let us stick with the case of Special Relativity where the scalar product is defined through η.
Lorentz Transformations
Now what is a Lorentz transformation? Let us denote it with Λ. As mentioned above, you need one for every index of your tensor that you want to transform. Say we want to get a vector V from one coordinate system to the other, we apply a Lorentz transformations on it so in the new coordinate system we have V' = VΛ, where V' is the same vector, but how seen in the other coordinate system. With indices that reads V'iΛij = Vj. Similarly, the transverse vector transforms by V'T = ΛT VT.
Lorentz transformations are then just the group of transformations that preserve the length of all vectors, length as defined through the scalar product with η. You can derive it from this requirement. First note that a transformation that preserves the lengths of all vectors also preserves angles. Proof: Draw a triangle. If you fix the length of all sides you can't change the angles either. Lorentz transformations are thus orthogonal transformations in Minkowski space. In particular, since the scalar product between any two vectors has to remain invariant,
VT η U = V'T η U' = VT ΛT η Λ U,
they fulfil (with and without indices)
ΛijηkiΛlk = ηjl <=> ΛT η Λ = η (1)
If you forget for a moment that we have three spatial dimension, you can derive the transformations from (1) as we go along. Just insert that η is diagonal with (in two dimensions) entries (1,-1), name the four entries of Λ and solve for them. You might want to use that if you take the determinant on both sides of the above equation you also find that |det Λ| = 1, from which we will restrict ourselves to the case with det = 1 to preserve orientation. You will be left with a matrix that has one unknown parameter β in the following familiar form

with γ-2 = 1- β2.
Now what about the parameter β? We can determine it by applying the Lorentz transformation to the worldline (cΔt, Δx) of an observer in rest such that Δx = 0. We apply the Lorentz transformation and ask what his world line (Δt', Δx') looks like. One finds that Δx'/Δt = βc. Thus, β is the relative velocity of the observers in units of c.
One can generalize this derivation to three spatial dimensions by noticing that the two-dimensional case represents the situation in which the motion is aligned with one of the coordinate axis. One obtains the general case by doing the same for all three axis, and adding spatial rotations to the group. The full group then has six generators (three boosts, three rotations), and it is called the Lorentz group, named after the Dutch physicist Hendrik Lorentz. Strictly speaking, since we have only considered the case with det Λ = +1, it is the "proper Lorentz group" we have here. It is usually denoted SO(3,1).
Once you have the group structure, you can then go ahead and derive the addition-theorem for velocities (by multiplying two Lorentz-transformations with different velocities), length contraction, and time dilatation (by applying Lorentz transformations to rulers).
Kinematics
Now let us consider some particles in this space-time with such nice symmetry properties. First, we introduce another important scalar invariant of Special Relativity, which is an observer's proper time τ. τ is the proper length of the particle's world line, and an infinitesimally small step of proper time dτ is consequently
dτ2 = c2 dt2 - dx2
One obtains the proper time of a curve by integrating dτ over this curve. Pull out a factor dt2 and use dx/dt = v to obtain
dτ2 γ2 = dt2
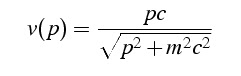
A massive particle's relativistic four-momentum is pi = mui, where ui=dxi/dτ = γ dxi/dt is the four-velocity of the particle, and m is its invariant rest mass (sometimes denoted m0). The rest mass is also a scalar. We then have for the spatial components (a = 1,2,3)
pa = m γ va .
What is c?
Let us eventually come back to the parameter c that we introduced in the beginning. Taking the square of the previous expression (possibly summing over spatial components), inserting γ and solving for v one obtains the particle's spatial velocity as a function of the momentum to 
In the limit of m to zero, one obtains for arbitrary p that v=c. Or the other way round, the only way to get v=c is if the particle is massless m=0.
So far there is no experimental evidence that photons - the particles that constitute light - have mass. Thus, light moves with speed c. However, note that in the derivation that got us here, there was no mentioning of light whatsoever. There is no doubt that historically Einstein's path to the Special Relativity came from Maxwell's equations, and many of his thought experiments are about light signals. But a priori, arguing from symmetry principles in Minkowski-space as I did here, the constant c has nothing to do with light. Nowadays, this insight can get you an article in NewScientist.
Btw, note that c is indeed a constant. If you want to fiddle around with that, you'll have to mess up at least one step in this derivation.
See also: The Equivalence Principle
64 comments:
Hi Bee,
An interesting piece, one which I’ll have to try to examine more carefully as to attempt to grasp all its subtleties. In short though what I believe you are saying is that SR is not about the speed of light yet rather the nature of space-time as it relates to speed. In fact if one talks of light speed in relation to itself it could be said the concept of travel becomes meaningless since speed has no relevance in a space-time with no distance or have I totally missed your point.
Best,
Phil
Since one can have Galilean relativity, where there is no space-time metric, and physics there will be the same for observers moving at uniform velocities w.r.t. each other, one has to ask what physics is broken because of Galilean relativity? And the answer is electromagnetism (unless there is an ether) and that is where the speed of light enters.
http://prola.aps.org/abstract/PRL/v90/i8/e081801
Phys. Rev. Lett. 90 081801 (2003), 80 1826 (1998), 68 23 3383 (1992); Phys. Rev. D 8 2349 (1973). Photon rest mass is less than 10^(-51) grams. Non-zero rest mass gives electromagnetism a finite range, then 1/r^2 force is untrue.
The Equivalence Principle is suspect. Teleparallelism contains GR; one large amplitude EP violation is still allowed: Do left and right shoes falsify the EP? A parity Eötvös experiment contrasts single crystal test masses of enantiomorphic space groups P3(1)21 and P3(2)21 quartz. Two hemiparity controls are quartz contrasted with amorphous fused silica.
Ah, that last formula is nice! I don't remember having seen it before, but it shows very nicely the correspondence between being massless and moving at the speed of light :-)
Cheers, Stefan
Oh, a nice 2d circulant matrix, /\. Of course, the characteristic c must change with dimension.
Might you also argue that there must be *some* limiting speed to causal signal propagation? Otherwise even classical physics become indeterministic.
One of the nicest set of thought experiments of Einstein's is the attempt to define operationally the speed of light, concluding that all such attempts are circular. The speed of light is just an arbitrary conversion factor between length and time, whose value is not measurable by itself. The only physical statement is that there is a maximum speed of propagation. The fact that it is a constant, and the value of that constant, is just a convention.
(I know there are the so-called varying speed of light theories, when you insist on using operationally defined quantities, those always end up being varying of something else theories.)
Hi George,
I do not see why an infinite speed of information propagation would cause problems unless it is also possible to process (de/encode) information arbitrarily fast. Best,
B.
Hi Kea,
I am afraid, I don't quite understand your comment. What do you mean with 'dimension'? Do you mean dimension like space-time dimension, or dimension like dimensionful quantities? I don't understand what you are saying in either case. Best,
B.
Dear Stefan,
Yes, I think the usual way to argue why c is the speed of massless particles is to look at the relativistic mass which blows up to infinity when v->c. I never found this particularly enlightening for it explains why a particle that moves with speed c must be massless, but not why a massless particle must move with speed c. The above equation works both ways. Best,
B.
I mean the dimension of the measurement space, which is correlated with cosmological scale. Of course I realise that you haven't really been following what we're talking about.
Dear Arun,
That is of course correct. But SR has proved to be enormously useful, whether or not c is the speed of light indeed - to begin with it brought us General Relativity. The reason why we think of it as the speed of light is that electrodynamics happens to be a very well studied phenomenon. If gravity wasn't so weak, maybe we would have come to SR via gravitational waves instead? If tomorrow somebody would find the photon does indeed have a mass (which I think is unlikely though), would we conclude then Maxwell's equations are wrong and c in SR is not the speed of light, or would we throw out SR? Best,
B.
Hi Kea,
No sorry, I have no clue what you are talking about, and I still don't understand what you mean with dimension. Neither do I know what you mean with measurment space or what either of that has to do with the derivation of Lorentz transformations. Best,
B.
Hi Phil,
what I believe you are saying is that SR is not about the speed of light yet rather the nature of space-time as it relates to speed.
Yes, one could say so.
In fact if one talks of light speed in relation to itself it could be said the concept of travel becomes meaningless since speed has no relevance in a space-time with no distance or have I totally missed your point.
Though I am tempted to agree that travel isn't a meaningful concept without distances, I didn't say anything like this in my post. In case you are referring to lightlike curves having zero length in Minkowski space, they can still be parameterized - the parameter just isn't the curve's length. Not sure though that was what you meant to express? Best,
B.
"What is c?"
No you have not told me what is c and I'd love to hear it.
What is c, really?
Why does photon max speed is c, not say c+100km/s. Why not a whole lot faster. Is it because it does not have mass? Are we absolutely sure? But some property in photon is interacting with space to restraint it from going beyond c. And it is not mass. What then? SR 'explains' c as a conversion factor between energy and mass. Yes it cannot be mass that is responsible for c. This contradiction points to a property of photon yet undiscovered.
Hi Bee,
“In case you are referring to lightlike curves having zero length in Minkowski space, they can still be parameterized - the parameter just isn't the curve's length. Not sure though that was what you meant to express?”
Yes that’s what I was referring to and realize what you outlined didn’t actually go there. It’s just I’ve always found it strange that when people talk about something (phenomena) as being local they are considering the aspects of space-time that exist below C. Another way to put it is to ask what meaning does local have for light or a gravity wave? I guess more properly that would be a photon or graviton.
Best,
Phil
Bee,
What was your objective? If the idea is to explain Lorentz transform, I find the explanation really complicated. It's not that it's wrong, it's that you just pull arbitrary formulas out of a hat, and say "that's it". If I didn't already know that the theory was verified, why would the particular equations you used make sense more than any other?
Special relativity is really simple. It's really nothing more than perspective in 4D, with a -+++ distance instead of +++ in our usual 3D space. It's the 4D equivalent of "isometric perspective". Mathematically, take the usual rotation of angle alpha, replace the y axis with ict, and cos alpha becomes an hyperbolic cosine we traditionally write "gamma". That's all there is to it.
I've used this presentation to teach special relativity to teenagers. With it, said teenagers have been able to grasp special relativity effects that eluded many physicists not so long ago.
Carlo Rovelli made a similar point that even relativity is still not "digested" today, not just by the mainstream, but also by many scientists. What special relativity really showed is that we measure time and space using the same physical interaction (which is also how we define our units of time and space nowadays).
Rovelli is, I'm afraid, one of the very few who saw this particularly profound implication of special relativity, namely that you can't understand space and time if you keep seeing them as a "background" as opposed to as a symbolic representation of interactions between physical entities. To me, that is the real answer to "what is c".
Hi Christophe,
As I said in the first paragraph, I meant to get rid off the interpretational baggage that often comes with SR and especially tell what the role is of c. What somebody considers easy is a matter of personal preference I'd say. There is nothing arbitrary about the formulas I used, and I didn't pull them out of a hat. The only thing I'm saying is that Lorentz transformations are the special orthogonal group in Minkowski space, they are parametrized by relative velocities and they have one free constant that is the speed of massless particles. I fail to see how saying that space isn't fundamental explains what the role of c in the Lorentz transformation is. Best,
B.
Bee:If gravity wasn't so weak, maybe we would have come to SR via gravitational waves instead?
Honestly I can't remember how I got to thinking that the photon is representative of a "location in time and space," "is" representative as an example of an in/outgoing state?
As I mentioned, assuming such a case of existence for the photon, I thought, why not write it to a colour chart? Ya, I am a simpleton learning, so I'll take the flack.
Maybe, using the photon as being defined by the "blackhole" as a zero point to gravitational recognition?":)
Help?:(
Best,
Was then thinking along the line of calorimetric evidence.
Hi Plato,
Not sure what the question is. The equation you link to seems to be the one gets from deriving the Schwarzschild radius via the escape velocity in the Newtonian limit (which I could never make much sense off because it starts with considering a massive particle). I don't know either why you think a photon represents a place in space and time. Possibly it's because people often use what is called 'lightcone coordinates' in which in/outgoing photons are travelling on the coordinate axis. Again, it is actually curves with length zero that one is talking about. Whether or not light actually travels on them isn't the relevant point. If photons where massive, it wouldn't, but the curves would still be there. Best,
B.
Hi Phil,
This is actually the same question that Arun asked recently. The problem with how you pose it is in the word 'meaning'. What meaning does anything have for a photon I could ask? If you take a piece of paper and draw the usual lightcone on it, then you (not a photon) can see distances between two points on the lightcone. You have drawn them, that is a parameterization. That does not represent the length of the curve in that space (as measured with the scalar product), but you can use it to define a local neighborhood. You are right however that for massless particles time doesn't pass, so for them in some sense all points are 'now'. Best,
B.
Hi Tkk,
No you have not told me what is c and I'd love to hear it.
Well, I said what c is, and that should have answered your question. c is the speed at which massless particles move. Massless particles move with c. Not c - 100 km/h, not c + 100 km/h but c.
SR 'explains' c as a conversion factor between energy and mass. Yes it cannot be mass that is responsible for c. This contradiction points to a property of photon yet undiscovered.
Actually, the point of my writing was to explain why the photon a priori has nothing to do with c. Maybe you should read what I wrote?
Best,
B.
Hi Bee,
“You are right however that for massless particles time doesn't pass, so for them in some sense all points are 'now'”
Are you saying that although all points are ‘now’ yet all are not ‘here’ or are you saying there is no ‘here’ to require a distinction?
Best,
Phil
Hi Bee,
I am probably confusing the heck out of you. Sorry.
Kaluza–Klein theory
For example, on the simplest of principles, one might expect to have standing waves in the extra compactified dimension(s). If an extra dimension is of radius R, the energy of such a standing wave would be E = nhc / R with n an integer, h being Planck's constant and c the speed of light. This set of possible energy values is often called the Kaluza–Klein tower.
Assuming a "fifth dimensional perspective" such a move is to "transcend the view" of gamma ray( only now we understanding the importance of this information) as we view the universe. We currently are enlisting and assign a value to the photon then as a move to the fifth dimensional perspective?
If gravity is weak ,it is also strong, vieedw from that perspective? Thus, a Lagrangian view is established in the three body problem.
I have a qoute of Poincaré's that should be seen along side the "sound of billiard balls." I have to find it.
Best,
One particular variant of Kaluza–Klein theory is space-time-matter theory or induced matter theory, chiefly promulgated by Paul Wesson and other members of the so-called Space-Time-Matter Consortium. In this version of the theory, it is noted that solutions to the equation
R_{AB}=0\,
with RAB the five-dimensional Ricci curvature, may be re-expressed so that in four dimensions, these solutions satisfy Einstein's equations
G_{\mu\nu} = 8\pi T_{\mu\nu}\,
with the precise form of the Tμν following from the Ricci-flat condition on the five-dimensional space
Hi Phil,
I am saying there are different notions of 'here', or maybe better of 'close'. You are talking about one specific parametrization of curves, the one with the proper length. This is not the only way to parametrize any curve. It is for not lightlike curves however a commonly chosen one. For lightlike curves you can not use the proper length to parametrize the curve because the length of the curve as measured with the scalar product in Minkowski space is zero. That doesn't mean you can not parametrize it. Just draw the Minkowski plane with a lightcone and make some dots on the lightcone. That's a parametrization if you wish. You can use it to decide whether two dots are next to each other or aren't. What this parametrization 'means' however is a completely different question. Best,
B.
Hi Bee,
“What this parametrization 'means' however is a completely different question.”
Yes and in effect as with the initial question this is what concerns me the most. Moshe previously called this a circular problem of sorts, which often I find just another way of saying it presents itself as being a paradox. I’ve come to view any paradox as pointing to something that is wrong and I guess what I’m so curious to discover is what that might be.
I’ve read many viewpoints in relation to this subject, like for instance those proposed by Harvey Brown and even John Bell, yet have found in the end something wanting in these arguments. That’s not in the least bit to have one imagine I have a better idea, its only to say I don’t believe anyone has one as of yet and I further believe for whomever comes up with one it will prove to be the key to breaking the current deadlock that’s preventing theoretical physics in moving forward to any great degree.
Best,
Phil
Before reading this post I used to worry why the speed of light should be somehow involved in determining the structure of spacetime.
I also learned here (among other things) that it would not be inconsistent with SR if there was no particle that had the highest possible speed (for information transfer)i.e no massless particles.
This is Cool! Thank you, Bee. I'm sure others will find this post as useful as I did.
".. used to worry why the speed of light should be somehow involved in determining the structure of spacetime. .."
I am not aware of a single paper that explains why the speed of photon determines, or be determined, by the structure of spacetime. Because such a paper will be able to derive the speed of photon from the properties of spacetime, explains why this speed cannot be higher than what we observe, and why it is an absolute constant from all observers. It might also shed light (punt intended) on where light, photons, come from, a foundation of this universe.
"... it would not be inconsistent with SR if there was no particle that had the highest possible speed ..."
SR works with c as a mathematical parameter. Physicists then associate c with the measured speed of light, and assume both are the same thing. Very reasonable. But not 100% validated. Because SR, and no other theories since, are able to explain why photons travel at, and only at c. No even string theory, because it only *assume* strings move at c. The theory of causal dynamical tragulations try mightily to derive c from the dynamics the 'components' of spacetime which it uses, but so far not convincingly. Deriving c from spacetime is one of the most fundamentals of problems. Because if this is accomplished, the rest, such a Lorentz transformations and others, are so much mere technicalities.
Hi Nirmalya,
Thanks, it's good to hear my writing is useful for something.
Hi Tkk,
I think what Nirmalya is saying is that the way SR is often motivated it leaves one with the impression light plays a special role for the structure of space and time. I don't think this is intentional, but it can cause misconceptions.
Because SR, and no other theories since, are able to explain why photons travel at, and only at c.
As I have shown in my post, if photons are massless they have to travel with c.
I think you are talking about a completely different issue, that is the emergence of Lorentz invariance if space-time is not a fundamental entity. This is far beyond what I was aiming at here.
Best,
B.
One of the curious implications of relativity is hardly known to many physicists. I found it for myself years ago and then read about it in some really comprehensive texts. This is the stress-augmentation of momentum and energy (it goes under different names.) It's easy to understand why it must occur: Suppose I suddenly apply compressive or stretching force on a rod, simultaneously in it's own co-moving IRF. The forces will not be applied simultaneously in a frame in which the rod is moving because of "relativity of simultaneity." This will cause a extra jump or deficit in the momentum and energy of the rod, because conservation laws require that we in effect store the work and impulse applied on the rod.
For example, the time difference in proper time, for a rod is delta tau = -L_0*v/c^2, with L_0 the proper length and considering towards the direction of motion. Hence, the rear clock is "ahead" - (BTW change your clocks tonight for DST -> ST where applicable.)
We also must consider that time on the rod is slowed; for us this means delta t = gamma*L_0*v/c^2. Hence we had to apply the trailing force first, and the extra impulse used up (and thus imparted to the rod as part of its stress-tensor) is
p(aug) = f*gamma*L_0*v/c^2.
Because the energy if f*v*delta t, the energy increment is
E(aug) = f*gamma*L_0*v^2/c^2.
There is also a shear-force momentum augmentation. This weird sideways (perp. to velocity) momentum vector is the true solution to the "right-angle lever paradox" despite much confusion using other ostensible means.
The augmented values are needed to solve various paradoxes about energy of stretched or compressed objects, otherwise we'd have "free energy" from being able to collect energy in the compression of springs in a decelerating ring (as the Lorentz contraction reduced, fewer springs could be put around a circumference in relaxed condition - therefore, energy would build up inside them despite no actual work being done pushing them together by outside forces.) The also add corrections needed to fully solve the conservation of angular momentum during Thomas precession (which is a really weird effect!) etc.
Hi Phil,
Though I can not know with certainty, I think what Moshe was talking about is a completely different point. There is no paradox with the fact that you can not parametrize lightlike curves with their proper time.
Maybe it would help if you could point me to a reference to understand what the issue is you are talking about, I think I still don't understand what you are concerned about.
Best,
B.
Moshe said: "The fact that it is a constant, and the value of that constant, is just a convention. "
I confess that I have never understood this claim. As [I think] John Baez said, the idea that the speed of light can vary is no different in principle to the idea that the speed of sound can vary.
The version of this that I *can* understand is the following. We are all accustomed to the idea that light moves really, really fast. Let's say that light moves at a speed N times greater than the maximum speed I can reach on my bicycle. The claim then is that if the speed of light were halved, then my cycling speed would also be halved, so we would never know the difference.
IF this is true, then I understand Moshe's claim and I agree with it. The question is: why on earth should I believe such a thing? Sure, you could say that everything about me and my bike is determined by electromagnetic interactions, that the speed of light enters into Maxwell's equations, and "therefore" the statement holds. But that looks like hand-waving on a stupendous scale to me......
Hi Bee,
I guess it all boils down to C as you point out not being actually a maximum speed, yet rather a limit that can’t be reached or even approached. In this way its better to describe it as being a threshold of sorts, a threshold that is both defined and limited by the nature of what is called space-time.
This threshold in turn is guarded by the entity we refer to as time, which I guess is in fact what still eludes us as to what remains to be explained or rather understood. The approaches I speak of offered by those like Bell and as extended by Brown are to look at this limit being solely affected or explained by distance, coupled with proximity and speed, rather then time in a pure sense or perhaps better to say they almost ignore it entirely.
Another way to look at it is to imagine the universe contained only one (sub C) particle, with only one photon existent to keep track of, as to follow or encounter. Here there would be no notion of itself having speed, travel or motion as for in respect to this photon the particle would be forever standing still; that is of course relatively speaking. So to extend this thought a little further within this universe I’ve imagined, what then is acceleration for although it might register as being a force it would remain uncertain as how it was manifested? The same could be said for the energy of the photon. Despite this time would exist as the particle would decay into what time itself did not exist for, an as such distance or travel the same, also of course relatively speaking.
This then in effect is what I call the paradox and what for me is not understood. In short do you not find it strange that what we use as the only reliable thing with which to measure time and with it distance and speed that for itself time or arguably all of it doesn't exist?
Best,
Phil
Bee,
The "baggage" is what must be known ahead of time. This is the reason I picked a "baggage-free" audience such as teenagers to show that your explanation doesn't get rid of any baggage. It's not a matter of personal preference that only specialists can understand what you wrote. I only commented because I think that it matters to you personally: if the Lightcone Institute were to present special relativity in such an abstruse way, it would totally fail its goal to reach out to non-specialists.
Regarding "what is c", I was not referring to the role of c in the Lorentz transform but more generally in modern physics. The old Newtonian school was that space and time pre-exist, you have (x,y,z,t) and you paint events on this canvas. The "traditional" relativistic school is the same thing, except that (x,y,z,t) now belong to a Minkowski canvas. The "relational" view that Rovelli advocates is that there is no canvas: (x,y,z,t) simply express relations between physical events. And in that view, since c is also the speed of light, "c" is the hint we need to realize that the particular set of relations we call "space-time metric" is defined by the electromagnetic interaction. That's my answer to "what is c".
Best,
Christophe
Hi Christophe,
Well, I happen to think your answer to what is c is bogus. I sincerely hope that is not what you tell the teenagers you were mentioning. Thanks for your advice on pedagogic writing, as I said already above, it was here not my intention to provide yet another 'simple' introduction to SR. Best,
B.
Hi Phil,
I guess it all boils down to C as you point out not being actually a maximum speed, yet rather a limit that can’t be reached or even approached.
That depends on the mass of the particle. For a massive particle c is a limit that can be approached, but not reached. A massless particle has to move with c. Taken both together c is the maximum speed.
do you not find it strange that what we use as the only reliable thing with which to measure time and with it distance and speed that for itself time or arguably all of it doesn't exist?
No. That's because, as I tried to say earlier, I don't know what it means to a photon that time or something else for that matter 'exists'. Neither do I know what it means to an electron or a gluon that time exists or doesn't exist. It's just questions that I'm not particularly interested in. Best,
B.
Strictly speaking, tachyons are not ruled out. So c acts as a speed limit from above (non-tachyonic matter can never accelerate to c speed) and a speed limit from below (tachyons can never deccelerate to c speed).
Yes.
Hi Arun,
“Strictly speaking, tachyons are not ruled out. So c acts as a speed limit from above (non-tachyonic matter can never accelerate to c speed) and a speed limit from below (tachyons can never deccelerate to c speed).”
This makes C a double sided looking glass yet one that’s not completely symmetrical in action. What I mean to say it is not in the relative sense. Within ones reference frame the mirror remains the same distance away from this side while from the other it appears to be variable all the way back from it and all the way up. So should not this symmetry remain the same if tacyhons are to exist and what would that in turn mean if they did?
Best,
Phil
Hi Bee,
“No. That's because, as I tried to say earlier, I don't know what it means to a photon that time or something else for that matter 'exists'. Neither do I know what it means to an electron or a gluon that time exists or doesn't exist. It's just questions that I'm not particularly interested in.”
I guess that’s perhaps why among other things you are a physicist and not I, as for certain I am interested and would in turn be so hung up I could proceed no further:-)
Best,
Phil
Bee,
I happen to think your answer to what is c is bogus.
Would you be kind enough to elaborate a little? I might learn something. Do you know of measurements of space or time that are not, ultimately, defined or calibrated by reference to properties of light? Honestly, that seems improbable to me, as the metre itself is defined using light...
Talking about "bogus", you wrote the point of my writing was to explain why the photon a priori has nothing to do with c. But c is the speed of light by definition. The point of the Lorentz equations was to find transformations that would preserve the speed of light, because it was observed to be a constant.
You turned that backwards, you postulated Minkowski, tensors, scalar invariants, massless particles, and, "fiat lux", you "deduced" the existence of particles that propagate at constant speed... This is what I called that "pulling equations out of a hat", and I stand by my opinion. By the way, we all know why there is one free constant and not 16, but it's not because of your explanations.
I sincerely hope that is not what you tell the teenagers you were mentioning.
No, as the link I have provided would have shown. "What is c" was a different question than "what are Lorentz equations about". However, just like above, what I hope is that you will find better arguments to back your opinion than "I think" and "I sincerely hope".
Regards
Christophe
Hi Bee,
I have always found it interesting that invariance and the scale of infinities have similarities. What I mean by this is as the speed of a massive particle never changes relative to a massless one, so does the magnitude of the countable infinities not change in relation to the uncountable ones. That is to ask could the difference between the speed of the massive and massless be the same in nature as the difference in magnitude between the set of nature numbers and the set of reals. I realize this be nothing more then whimsical speculation most likely resultant of that extra hour of sleep I was afforded last night:-)
Best,
Phil
Hi Christophe,
Do you know of measurements of space or time that are not, ultimately, defined or calibrated by reference to properties of light? Honestly, that seems improbable to me, as the metre itself is defined using light...
I think we are talking past each other. There is no doubt that in practice electromagnetic radiation plays an important role in our daily lives. I find it hard to imagine doing anything in a world without that. What I was trying to say however is that there is fundamentally no connection between the space-time structure and light. Whatever experiment you can imagine to measure space and time, it plays no role that the particle happens to be a U(1) gauge boson.
You turned that backwards
Correct. As I wrote in my post, there is no doubt that historically the task was to find a way to leave the speed of light invariant. However, as I hope my argument makes clear, it is for Special Relativity irrelevant that the speed it leaves invariant is that of a photon. Best,
B.
Hi Christofer,
What are you saying is simply wrong. Any phenomenon which propagates with constant speed in two inertial frames can be used to derive the lorentz transformations (as Bee has pointed out). All these phenomena are described by massless particles/fields and thus they propagate with speed c. You can't find any phenomenon which has a constant speed in two inertial frames and this speed to be different than c. But this has nothing to do with the light and the photon specifically it could be any massless particle.
What you are saying could be justified only if you could prove to us that a specific property of a photon e.g. it's spin or the fact that it couples only to charged particles is necessary in order retrieve SR.
Can you do that? I would love to see it.
BR
Christophe de Dinechin understands what I am saying, and while only at it's most basic with which I had elaborated, it goes to a much wider audience to think about the futures in theoretical acceptance.
Geez, now Phil's got me doing it. Please bring back the beta version of the dialogue box with preview features please.:)
It is directing attention to these fine areas that one does believe it to "loose distinction" but we have to mover ever more careful to define the relation between gravity "as a presumption" to what is revealed by the photon.
* A quark-antiquark pair created from the gluon field is illustrated by the green-antigreen (magenta) quark pair on the right. These quark pairs give rise to a meson cloud around the proton.
* The masses of the quarks illustrated in this diagram account for only 3% of the proton mass. The gluon field is responsible for the remaining 97% of the proton's mass and is the origin of mass in most everything around us.
* Experimentalists probe the structure of the proton by scattering electrons (white line) off quarks which interact by exchanging a quantum of light (wavy line) known as a photon.
Bee,
You see no connection between light and the space-time structure. What about the 'c' in every space-time metric?
Similarly, one reason for choosing U(1) for the photon is that it is massless. A massless photon was a requirement imposed by SR. So it's not just chance that SR preserves the speed of U(1).
Giotis,
Just because other massless particles propagate at the speed of light doesn't mean that c is unrelated to light. This would be like reasoning that since some planes can travel at the speed of sound, the speed of sound has nothing to do with sound...
If you measure time using, say, beta-decay, e.g. you take a variable 'n' that counts C-14 atoms, the resulting (x,y,z,n) space-time is not Minkowskian. You need to write equations based on log(n) to match physical observations.
Therefore, what physical process you chose to measure space and time influence the space-time structure you get. It is illegitimate to simply postulate Minkowski.
As an aside, I don't think that properties of photons matter much. I suspect that our choice of "clocks" and "rulers" have more to do with how our brains and bodies measure space and time.
Hi Christophe,
You see no connection between light and the space-time structure. What about the 'c' in every space-time metric?
I think it would really help if you would at least try to understand what I wrote in my post. c is a constant. You can show it to be the speed of massless particles. That's it. Now for all we know photons are massless, and thus c is the speed of light. It is however also the speed of all other massless particles, may that be a SU(3) gauge boson or a graviton. You can, if you want to, consider the standard model without any massterms and without U(1) symmetry whatsoever. What then happens to your claim that the "space-time metric is defined by the electromagnetic interaction"? If that was correct, it would mean there is no space-time metric, unless you have a U(1) gauge boson. I am not aware of any proof for this, I am highly skeptical it is provable, and unless you provide a proof I will consider it bogus.
Similarly, one reason for choosing U(1) for the photon is that it is massless. A massless photon was a requirement imposed by SR. So it's not just chance that SR preserves the speed of U(1).
U(1) is the gauge symmetry of Maxwell's equations, Einstein didn't 'choose' it. Best,
B.
Bee,
I understand what you wrote in your post, it's actually quite elementary. So, really, no need to rehash your point that all massless particles travel at c. I think I was comfortable with the idea at age 15, so you are not exactly rocking my boat.
I never wrote that Einstein 'chose' U(1), merely that we chose this symmetry among the possible mathematical symmetries because of SR experimental evidence. I'll grant you that with the experimental evidence today, we don't have much of a "choice".
Asking what happens with my claim when considering a standard model without U(1) symmetry is like asking what happens to GR claims when considering Pac-Man's toroidal 2D space. Forgive me if I don't answer that question.
I suspect that you incorrectly interpreted "defined" as "mathematically implied by", i.e. you read "the space-time metric is defined by the electromagnetic interaction as if I had written "the standard model photon implies a Minkowski metric" or something like that. That's not what I wrote. Read again, you will be able to verify that I wrote "by definition" or made multiple references to the standard definition of metre, etc. The metric is a mathematical expression combining variables that represent measurements of distance and time. The official definition for metre and second are: the distance travelled by light in absolute vacuum in 1/299,792,458th of a second, and the duration of 9 192 631 770 periods of the radiation corresponding to the transition between the two hyperfine levels of the ground state of the caesium 133 atom. Consequently, the metric is currently also defined based on these two properties of light, using the standard English meaning for "defined".
I criticized "arguing from symmetry principles in Minkowski-space" because a metric based on a different physically valid measurement of time, such as beta-decay, doesn't follow the same symmetry. Therefore, starting by postulating the symmetry is illegitimate. This was after careful reading of your post (the comment is close to the end, actually). You did not answer that objection.
I also disagreed that just because other massless particles travel at c, "the constant c has nothing to do with light". I gave two objections. One is that just because planes travel at the speed of sound doesn't mean that the speed of sound has nothing to do with sound. The other is that c is the speed of EM waves in Maxwell's equations (as derived from permittivity and permeability of the vacuum). You state in your post that it's historical, but even today, Maxwell's equation describe EM waves, not some other field. So I don't think you answered these objections either.
In short, believe me, I am trying to understand what you write.
Hi Christophe,
Asking what happens with my claim when considering a standard model without U(1) symmetry is like asking what happens to GR claims when considering Pac-Man's toroidal 2D space. Forgive me if I don't answer that question.
Your claim was made in generality. My answer tried to explain why your claim does not make sense by pointing out that the presence of a U(1) gauge boson is an assumption that you don't need at all. I therefore asked you to consider the case in which you don't have such a gauge symmetry, but massless particles of some other kind.
I suspect that you incorrectly interpreted "defined" as "mathematically implied by"
I interpreted "defined" in the mathematical sense of the word, it was the only thing I could make sense of in the context you provided. Your reference to the definition of the meter I interpreted as a joke. I am aware of this definition for the meter, but I don't see how it is relevant for the argument in my post.
You did not answer that objection.
Again, because I don't see how it is relevant for the argument in my post. I start with assuming Minkowsi space with its symmetries. If you want to argue we don't live in a Minkowski space with these symmetries, then yes, the conclusions don't apply. However, SR based on these principles has worked pretty well (in the limits in which SR is valid) and I am not aware of evidence against this assumption.
I also disagreed that just because other massless particles travel at c, "the constant c has nothing to do with light". I gave two objections. One is that just because planes travel at the speed of sound doesn't mean that the speed of sound has nothing to do with sound. The other is that c is the speed of EM waves in Maxwell's equations (as derived from permittivity and permeability of the vacuum).
The actual context of the quotation you are criticising is "But a priori [...] the constant c has nothing to do with light." And follows after a paragraph in which I explained that yes, c, is indeed as far as we know the speed of light, and yes, Lorentz transformations are the symmetry transformations of Maxwell's equations which was historically the way to find them.
The point I am trying to make is one of necessity. Is it necessary for deriving the Lorentz transformation as symmetry transformations in Minkowski space to know about the existence of a massless particle called photon? No. Was considering the propagation of photons historically important to derive these transformations? Yes. Does that mean the structure of space-time is somehow related to the existence of photons specifically? No.
Best,
B.
Bee,
My answer tried to explain why your claim does not make sense by pointing out that the presence of a U(1) gauge boson is an assumption that you don't need at all.
So you are saying that my claim about physical space-time doesn't make sense based on mathematical theories that, like the mathematics of Pac-Man, are known not to represent our world?
I consider the objection invalid. I implicitly presented a similar argument based on Newtonian mechanics in my second comment on this thread. The R^3xR of Newtonian mechanics makes perfect mathematical sense too. Can I use that mathematical structure to deduce something about the structure of physical space-time?
I am aware of this definition for the meter, but I don't see how it is relevant for the argument in my post.
It's really frustrating that I am so totally unable to convey such a simple idea. I know, I know, it's probably my fault, but it's still really frustrating :-(
To see how it's relevant to your argument, let's get back to my (x,y,z,n), i.e. you measure time based on the proportion of radiocarbon. Compared to our "standard" t, you have something like n=K.exp(-t), right? Now, I think that you will agree that if (x,y,z,t) obeys the laws of SO(3,1), (x,y,z,n) cannot obey the same laws. So by changing the definition of time to another one that is equally valid, suddenly, the symmetries you took as your starting point go "pfffft".
It's possible that you have some reasons why n is not equally valid to measure time?
If you want to argue we don't live in a Minkowski space with these symmetries
No, I argue that the symmetries depend on the physical definition you used for space and time. The counter example of beta decay demonstrates that if you take a different physical definition, we don't live in a Minkowski space at all. We live in a Minkowski space only if you take the "standard" physical definition of space and time, which happens to be based on light.
Physics made progress by recognizing that time and space depend on the observer, that there is no privileged observer. It made progress in a different direction by recognizing that the eigenvalues depend on the observable, that there is no privileged state. I think that it would make further progress by recognizing that mathematical representations depend on the physical measurement being used, that there is no privileged measurement. I don't see any physical reason why t is better than n.
Hi Bee,
“That depends on the mass of the particle. For a massive particle c is a limit that can be approached, but not reached. A massless particle has to move with c. Taken both together c is the maximum speed.”
Not to belabour the point but for a massive particle c is never approached. Like I pointed out previously in terms of c all such particles are standing still. The move from sub c to c would be a jump rather then an approach, that is if such a thing were possible, which according to SR it’s not.
That’s why I called it a threshold rather then a speed, which I believe is consistent with what you are attempting to convey. The way I’ve always looked at it is when you accelerate one it actually reorienting the fabric of the space-time in which you occupy rather then actually gaining speed if that makes any sense. Sort of like what happens when tugging on a piece of yarn in a knitted sweater to have it become longer while having the knitting of what’s surrounding bunch up. The question then in terms of this crude analogy is to ask if the massless particles reside on the sweater at all? I realize you say you’re not interested, it’s just I wished to clarify.
Best,
Phil
Hi Phil,
I was talking about relative velocities as should be appropriate in a theory of relativity. Take a massive particle and put it anywhere. Now take a second massive particle. Their relative velocity can get arbitrarily close to c, but never reach c. That's what I am saying.
I can't make much sense out of your sweater analogy. This is special relativity, the background is flat, nothing happens to it. Best,
B.
Hi Christophe,
So you are saying that my claim about physical space-time doesn't make sense based on mathematical theories that, like the mathematics of Pac-Man, are known not to represent our world?
I consider the objection invalid.
Well. Let me try it one more time. You are claiming photos have some special importance for the structure of spacetime. I am saying this is bogus because whatever reason for this you have, it is completely irrelevant that the particle you are talking about happens to be a U(1) gauge boson. It doesn't matter how hard you try to ridicule my objection because the missing proof - that a U(1) gauge boson is somehow essential - is on your side, not on mine.
Compared to our "standard" t, you have something like n=K.exp(-t), right? Now, I think that you will agree that if (x,y,z,t) obeys the laws of SO(3,1), (x,y,z,n) cannot obey the same laws. So by changing the definition of time to another one that is equally valid, suddenly, the symmetries you took as your starting point go "pfffft".
This is just plainly wrong. Lorentz symmetry is a property of space-time. I wrote in my post that I chose Euclidean coordinates. You can change the coordinates in that spacetime to whatever you like, that doesn't remove the symmetries the space has. You just can't use the derivation I provided because then the metric isn't in the standard form.
I don't see any physical reason why t is better than n.
They are both valid choices for a time-coordinate and there is a transformation between them (which is not a Lorentz-transformation). You can make your life easier or more complicated by choosing a coordinate system. I chose to make it easier. Best,
B.
Bee,
You are claiming photos have some special importance for the structure of spacetime.
I clarified that this is not what I claim.
It doesn't matter how hard you try to ridicule my objection
I wish it had been "hard" :-( What was hard was deciding whether to expose the flawed logic or whether to cut you some slack.
because the missing proof - that a U(1) gauge boson is somehow essential - is on your side, not on mine.
You invented that claim, so I have no burden of proof. To prove my claim, I only needed to quote the definitions of space and time, which I did.
This is just plainly wrong. Lorentz symmetry is a property of space-time.
Lorentz is a mathematical property. Space-time is physical. The most reasonable interpretation of what you wrote is similar to "being Euclidean is a property of the surface of the floor." That's a convenient and frequent shortcut, and I understand what it means.
But you have to be careful, because in reality, being Euclidian is a mathematical property, and it applies to the physical floor within limits. For example, an Euclidean space remains flat at infinity or under zoom, the floor doesn't. Consequently, the deductions you can make about the floor based on Euclidean properties have limited value. If there is a tile of exactly 1x1m on the floor, there is no way you can find a physical measurement that will give exactly the irrational number \sqrt(2) for its diagonal.
For a floor, there is enough evidence such as microscopes. For space-time, though, too many people have a really hard time reaching the same conclusion. Try saying "we don't have evidence that space time is continuous" and see what happens... I know, I tried.
I wrote in my post that I chose Euclidean coordinates.
One thing that made Einstein truly amazing is how careful he was to identify what his hypothesis were:
However, the Gauss treatment for ds^2 which we have given above is not always possible. It is only possible when sufficiently small regions of the continuum under consideration may be regarded as Euclidean continua.
Note that Einstein writes: "may be regarded as", not "is". Einstein knew that it's not clear we can always make that choice. He also acknowledged the problem with continuity of space-time, by the way. But his theory works so well in so many cases that too many modern physicists will refuse to doubt what Einstein himself would never have taken for granted.
You can change the coordinates in that spacetime to whatever you like
I see you missed the point. I was not changing coordinates, I was changing the definition of time. In my thought experiment, there is no t, we never measured time with anything but radiocarbon, we don't know it's even possible. Of course, you can still write t=log(n) to get a simpler symmetry, but being an alien who measures time with radiocarbon, you have no idea what that t might represent, and that transform seems quite arbitrary.
You can make your life easier or more complicated by choosing a coordinate system. I chose to make it easier.
That's a valid choice. Writing "the floor is Euclidean" is a very valid way to make your life easier, as long as you know precisely the limits of what that means. But if you start calling "floor properties" propositions that are really "Euclidean properties", if you forget that they become approximate "floor properties" only for a small subset of the possible physical measurements on the floor, you have pushed the simplification too far.
Hi Bee,
“I was talking about relative velocities as should be appropriate in a theory of relativity. Take a massive particle and put it anywhere. Now take a second massive particle. Their relative velocity can get arbitrarily close to c, but never reach c. That's what I am saying.”
Yes I’m aware of this, which is always the outcome in any reciprocal relation, yet it is the invariance to c which for me has SR being ‘special’ as to what it is. My point was to note that with physicists like Harvey Brown there is all this discussion of whether there be a fixed frame of reference or not, while dancing around or rather ignoring that between the massive and the non massive particles this frame has always been present. This frame is not defined by 3d space in regards to motion, relative speed or acceleration yet rather by time, which without it they in themselves have no meaning as to exist.
As for my sweater analogy I think I’ll leave that one alone for fear I may appear being more of a ‘knit wit’ then I’ve already managed to do. :-)
Best,
Phil
Hi Christophe,
The more you write, the less I can make sense of it. I am sorry if I misunderstood your claim. Maybe it would help if you could briefly restate it. Preferably in a form from A follows/does not follow B. Please spare me further excursions via Pac man or Euclidean floors and such. Best,
B.
Bee,
As you wrote, Lorentz transformations are the special orthogonal group in Minkowski space. Minkowski space is a mathematical space, specifically a four-dimensional real vector space, equipped with a (3,1) non-degenerate symmetric bilinear form.
From the existence of a practical and theoretical upper limit on the number of distinct results that any physical measurement can yield, it follows that the set of physical distance and space measurements is countable. From the fact that Minkowski space-time is real valued, it follows that Minkowski space-time is not countable. From these two propositions, it follows that mathematical Minkowski space-time cannot be identified to physical space-time.
From the definition of meter and second, it follows that distance and time are defined using properties of light. From the formulation of metrics as functions of space-time coordinates, it follows that metrics on physical space-time are defined using properties of light. I am specifically not saying that they have to be defined that way (which is I think what you called my claim), but I don't know how to define it otherwise either.
From this, as well as from historical considerations including Maxwell equations, it follows that the statement "the constant c has nothing to do with light" is somewhat incorrect. I believe it is correct to state that SR predicts that c is also the exact speed of any massless particle.
From examples such as radiocarbon measurements, it follows that there exist measurements of time whose natural variables do not relate linearly to the standard time definition. By "natural variables", I mean raw counts of physical events, e.g. counting cycles of an EM wave or C-14 atoms. From this, it follows that the expression of the space-time metric using the natural variables for such measurements will not be a bilinear form. From the N-body problem, it follows that I can find physical measurements such that metric expressions may not even be algebraic.
From the many experimental validations of SR, it follows that when gravitation is negligible, the natural variables for standard duration and distance measurements closely approximate Lorentz transformations. From the observations in the previous paragraph, it follows that this is a special case, not the most general one.
Hope this helps...
Christophe
Sometimes one has to go back through where they have been, in order to understand where they are going?:)
Anyway a topic here for consideration in relation? Going "beyond" to incorporate the photon in a new understanding of its capabilities with the thought of a new theoretical definition.
Definitely trying to think outside the box.
Best,
Hi Christophe,
but I don't know how to define it otherwise either.
What I was trying to say is merely you could take any massless particle, whether it's a photon or not. Just that the photon is the most practical solution.
it follows that the statement "the constant c has nothing to do with light" is somewhat incorrect.
I already explained above why this out of context quotation is misleading, I don't understand why you are so hung up on that. The actual context of the quotation you are criticising is "But a priori [...] the constant c has nothing to do with light." And follows after a paragraph in which I explained that yes, c, is indeed as far as we know the speed of light, and yes, Lorentz transformations are the symmetry transformations of Maxwell's equations which was historically the way to find them.
I believe it is correct to state that SR predicts that c is also the exact speed of any massless particle.
Which is what I said.
it follows that the expression of the space-time metric using the natural variables for such measurements will not be a bilinear form.
If you use a different time coordinate it will still be bilinear, just not in the Minkowski form.
Thanks for the clarification. Best,
B.
Bee,
I don't understand why you are so hung up on that.
I'm not hung up, I was merely trying to re-state all the claims I made in the form you suggested.
What I was trying to say is merely you could take any massless particle, whether it's a photon or not.
That's precisely what I'm doing with my beta-decay example: I'm using a different physical phenomenon to define time. But what I'm trying to prove is that this change in definition leads to a change in the mathematical properties of the space-time resulting from this new definition.
If you use a different time coordinate it will still be bilinear, just not in the Minkowski form
In my radiocarbon example, the distance would be ds^2=dx^2+dy^2+dz^2-K.log(dn)^2. For a bilinear form B, B(a.u,a.u)=a^2.B(u,u). That relation clearly doesn't hold for the n component of my vector, since K.log(a.n)^2=K.log(a)^2+K.log(n)^2.
I can introduce the variable t=log(n) and then it is bilinear in t, but t is not a natural variable of my physical process anymore, where I defined "natural variable" as a raw count of physical events.
Thanks
Christophe
Hi Christophe,
I have no clue what your line element is supposed to be or to come from. I already told you above that Lorentz symmetry is a property of the spacetime. It does not matter which time coordinate you chose. If it is a flat space, it is a flat space, and it's Lorentz invariant. If it's not, then you have made a mistake. I recommend you check your coordinate transformation. Best,
B.
Post a Comment